在单缝夫琅和费衍射实验中,若将缝宽缩小一半,原来第三级暗纹处将是(  )。A.第一级暗纹 B.第一级明纹 C.第二级暗纹 D.第二级明纹

作者: tihaiku 人气: - 评论: 0
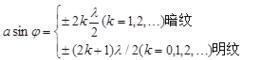
问题 在单缝夫琅和费衍射实验中,若将缝宽缩小一半,原来第三级暗纹处将是(  )。
选项 A.第一级暗纹 B.第一级明纹 C.第二级暗纹 D.第二级明纹
答案 B
解析 根据单缝夫琅和费衍射条纹的明暗纹条件,有: 当a缩小一半,k=3的暗纹变为k=1的明纹。

相关内容:单缝,缝宽,暗纹处,暗纹,明纹

猜你喜欢

发表评论
更多 网友评论0 条评论)
暂无评论

Copyright © 2012-2014 恰考网 Inc. 保留所有权利。 Powered by tikuer.com

页面耗时0.0396秒, 内存占用1.05 MB, Cache:redis,访问数据库18次