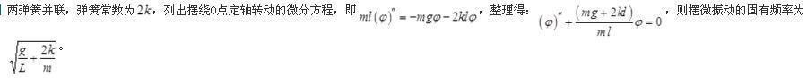
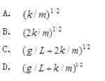
如图所示,单摆由无重刚杆OA和质量为m的小球A构成,小球上连有两个刚度为k的水平弹簧,则摆微振动的固有频率为(  )。

作者: tihaiku 人气: - 评论: 0
问题 如图所示,单摆由无重刚杆OA和质量为m的小球A构成,小球上连有两个刚度为k的水平弹簧,则摆微振动的固有频率为(  )。
选项
答案 C
解析

相关内容:如图,单摆,刚杆,质量,小球,构成,两个,刚度,水平,弹簧,摆微,振动

猜你喜欢

发表评论
更多 网友评论0 条评论)
暂无评论

Copyright © 2012-2014 恰考网 Inc. 保留所有权利。 Powered by tikuer.com

页面耗时0.0402秒, 内存占用1.04 MB, Cache:redis,访问数据库20次