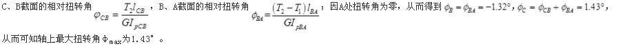
变截面圆轴如图所示。已知T1=2kN·m,T2=1kN·m,G=80GPa,此轴的最大扭转角φmax为(  )。 A.1.27° B.1.43° C...

作者: tihaiku 人气: - 评论: 0
问题 变截面圆轴如图所示。已知T1=2kN·m,T2=1kN·m,G=80GPa,此轴的最大扭转角φmax为(  )。
选项 A.1.27° B.1.43° C.1.69° D.1.85°
答案 B
解析

猜你喜欢

发表评论
更多 网友评论0 条评论)
暂无评论

Copyright © 2012-2014 恰考网 Inc. 保留所有权利。 Powered by tikuer.com

页面耗时0.0357秒, 内存占用1.04 MB, Cache:redis,访问数据库19次