图所示电路中,已知US=10V,R1=3kΩ,R2=20kΩ,R3=1kΩ,L=1H,电路原已稳定,在开关S断开的瞬间,电阻R2上的电压u(0+)最接近于...

作者: tihaiku 人气: - 评论: 0
问题 图所示电路中,已知US=10V,R1=3kΩ,R2=20kΩ,R3=1kΩ,L=1H,电路原已稳定,在开关S断开的瞬间,电阻R2上的电压u(0+)最接近于(  )V。
选项 A.-50 B.0 C.10 D.50
答案 A
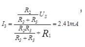
解析 根据串并联公式得出开关断开前R3上电流为 断开后,根据换路定理,经过L和R3的电流不变,经过R2的电流方向相反,可得R2上的电压为-2.41×20=-48.2V。

猜你喜欢

发表评论
更多 网友评论0 条评论)
暂无评论

Copyright © 2012-2014 恰考网 Inc. 保留所有权利。 Powered by tikuer.com

页面耗时0.0448秒, 内存占用1.04 MB, Cache:redis,访问数据库19次