某种饮料浓缩液每箱装12听,不法商人在每箱中换进4听假冒货。今质检人员从一箱中随机抽取3听进行检测,查出正好1听是假冒货的概率是(  )。

作者: tihaiku 人气: - 评论: 0
问题 某种饮料浓缩液每箱装12听,不法商人在每箱中换进4听假冒货。今质检人员从一箱中随机抽取3听进行检测,查出正好1听是假冒货的概率是(  )。
选项
答案 C
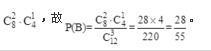
解析 根据古典概型,可设事件B=“查出正好1听是假冒货”,则基本事件总数为,事件B包含的基本事件数为

相关内容:饮料,浓缩,液每箱,商人,每箱,假冒,质检,人员,抽取,检测,概率

猜你喜欢

发表评论
更多 网友评论0 条评论)
暂无评论

Copyright © 2012-2014 恰考网 Inc. 保留所有权利。 Powered by tikuer.com

页面耗时0.0607秒, 内存占用1.04 MB, Cache:redis,访问数据库19次