均质圆盘重W,半径为R,绳子绕过圆盘,两端各挂重Q和P的物块,绳与盘之间无相对滑动,且不计绳重,则圆盘的角加速度为(  )。

作者: tihaiku 人气: - 评论: 0
问题 均质圆盘重W,半径为R,绳子绕过圆盘,两端各挂重Q和P的物块,绳与盘之间无相对滑动,且不计绳重,则圆盘的角加速度为(  )。
选项
答案 D
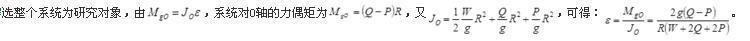
解析

相关内容:圆盘,半径,绳子,两端,各挂重,物块,滑动,绳重,角加速度

猜你喜欢

发表评论
更多 网友评论0 条评论)
暂无评论

Copyright © 2012-2014 恰考网 Inc. 保留所有权利。 Powered by tikuer.com

页面耗时0.0300秒, 内存占用1.04 MB, Cache:redis,访问数据库19次