图示单元体属于(  )应力状态。 A.单向应力状态 B.二向应力状态 C.三向应力状态 D.纯剪应力状态

作者: tihaiku 人气: - 评论: 0
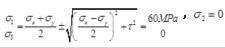
问题 图示单元体属于(  )应力状态。
选项 A.单向应力状态 B.二向应力状态 C.三向应力状态 D.纯剪应力状态
答案 A
解析 该点的主应力为: 可知该点处于单向应力状态。

猜你喜欢

发表评论
更多 网友评论0 条评论)
暂无评论

Copyright © 2012-2014 恰考网 Inc. 保留所有权利。 Powered by tikuer.com

页面耗时0.0342秒, 内存占用1.04 MB, Cache:redis,访问数据库18次