与牛顿内摩擦定律直接有关的因素是( )。A 压强 B 剪切变形 C 切应力 D 流速

作者: tihaiku 人气: - 评论: 0
问题 与牛顿内摩擦定律直接有关的因素是( )。
选项 A 压强 B 剪切变形 C 切应力 D 流速
答案 C
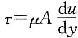
解析 根据牛顿内摩擦定律可知

相关内容:牛顿,定律,有关,因素,压强,剪切,应力,流速

猜你喜欢

发表评论
更多 网友评论0 条评论)
暂无评论

Copyright © 2012-2014 恰考网 Inc. 保留所有权利。 Powered by tikuer.com

页面耗时0.0371秒, 内存占用1.04 MB, Cache:redis,访问数据库18次