曲线( )。A 仅有水平渐近线y=0 B 仅有铅直渐近线x=2 C 既有水平渐近线y=0.又有铅直渐近线x=2 D 无渐近线

作者: tihaiku 人气: - 评论: 0
问题 曲线( )。
选项 A 仅有水平渐近线y=0 B 仅有铅直渐近线x=2 C 既有水平渐近线y=0.又有铅直渐近线x=2 D 无渐近线
答案 C
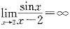
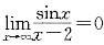
解析,y=0是曲线的水平渐近线,由,x=2是曲线的铅直渐近线

相关内容:曲线,水平,渐近线

猜你喜欢

发表评论
更多 网友评论0 条评论)
暂无评论

Copyright © 2012-2014 恰考网 Inc. 保留所有权利。 Powered by tikuer.com

页面耗时0.0291秒, 内存占用1.04 MB, Cache:redis,访问数据库19次