方程的通解为( )。

作者: tihaiku 人气: - 评论: 0
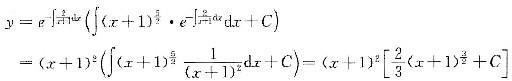
问题 方程的通解为( )。
选项
答案 D
解析 由一阶线性方程求通解的公式

猜你喜欢

发表评论
更多 网友评论0 条评论)
暂无评论

Copyright © 2012-2014 恰考网 Inc. 保留所有权利。 Powered by tikuer.com

页面耗时0.0943秒, 内存占用1.03 MB, Cache:redis,访问数据库20次