过点P1(1,1,1),P2(2,0,1)及P3(-1,-1,0)的平面方程是( )。A x+y-4z+2=0 B x-y-4z+2=0 C x+y-...

作者: tihaiku 人气: - 评论: 0
问题 过点P1(1,1,1),P2(2,0,1)及P3(-1,-1,0)的平面方程是( )。
选项 A x+y-4z+2=0 B x-y-4z+2=0 C x+y-4z-2=0 D x-y-4z-2=0
答案 A
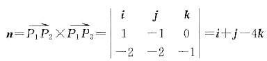
解析 平面的一个法向量应为于是由点法式方程,所求平面方程为 (x-1)+(y-1)-4(z-1)=0 即 x+y-4z+2=0

猜你喜欢

发表评论
更多 网友评论0 条评论)
暂无评论

Copyright © 2012-2014 恰考网 Inc. 保留所有权利。 Powered by tikuer.com

页面耗时0.0291秒, 内存占用1.04 MB, Cache:redis,访问数据库18次