河中水位为65.8m,见图20。距河300m处有一钻孔,孔中水位为68.5m,不透水层为水平面,高程为55.0m,土的渗透系数K=16m/d,单宽渗流量为...

作者: tihaiku 人气: - 评论: 0
问题 河中水位为65.8m,见图20。距河300m处有一钻孔,孔中水位为68.5m,不透水层为水平面,高程为55.0m,土的渗透系数K=16m/d,单宽渗流量为( )。
选项 A 0.048L/s·m B 0.082L/s·m C 0.104L/s·m D 0.112L/s·m
答案 D
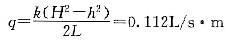
解析 单宽渗流量为

相关内容:河中,水位,距河,钻孔,孔中,水层,水平面,高程,系数,单宽渗,流量

猜你喜欢

发表评论
更多 网友评论0 条评论)
暂无评论

Copyright © 2012-2014 恰考网 Inc. 保留所有权利。 Powered by tikuer.com

页面耗时0.0396秒, 内存占用1.04 MB, Cache:redis,访问数据库19次