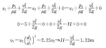
水箱中的水经一扩散短管流到大气中,如图17所示。直径d1=100mm,该处绝对压强p1=0.5大气压,直径d2=150mm,如水头损失忽略不计,作用水头H...

作者: tihaiku 人气: - 评论: 0
问题 水箱中的水经一扩散短管流到大气中,如图17所示。直径d1=100mm,该处绝对压强p1=0.5大气压,直径d2=150mm,如水头损失忽略不计,作用水头H为( )。
选项 A 1.23m B 0.98m C 2.11m D 0.46m
答案 A
解析 列水箱表面、管道出口和直径为d1断面的伯努利方程:

相关内容:水箱,扩散,短管,大气,如图,17所示,直径,压强,大气压,水头,损失,作用

猜你喜欢

发表评论
更多 网友评论0 条评论)
暂无评论

Copyright © 2012-2014 恰考网 Inc. 保留所有权利。 Powered by tikuer.com

页面耗时0.0385秒, 内存占用1.04 MB, Cache:redis,访问数据库20次