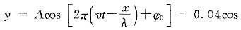
一平面简谐波在t=0时刻的波形如图3所示,波速u=0.08m·s-1,则波动表达式为( )。

作者: tihaiku 人气: - 评论: 0
问题 一平面简谐波在t=0时刻的波形如图3所示,波速u=0.08m·s-1,则波动表达式为( )。
选项
答案 C
解析 由波形曲线可知A=0.04m,λ=0.4m,则频率 由波形曲线,当t=0时O点处质元在平衡位置向下运动,即,y0=0,v0<0,该质元振动的初相,则。点处质元的振动表达式为y0=Acos(ωt-φ0)=0.04Acos,则该波的表达式为

相关内容:平面,谐波,时刻,波形,如图,3所示,波速,波动,表达式

猜你喜欢

发表评论
更多 网友评论0 条评论)
暂无评论

Copyright © 2012-2014 恰考网 Inc. 保留所有权利。 Powered by tikuer.com

页面耗时0.0366秒, 内存占用1.04 MB, Cache:redis,访问数据库18次