A.4 B.-4 C.-2 D.2

作者: tihaiku 人气: - 评论: 0
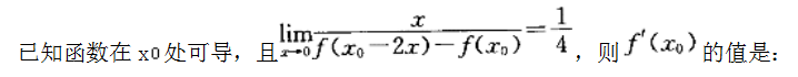
问题
选项 A.4 B.-4 C.-2 D.2
答案 C
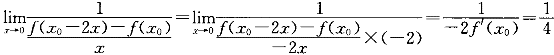
解析 提示:用导数定义计算。?原式= ?故

猜你喜欢

发表评论
更多 网友评论0 条评论)
暂无评论

Copyright © 2012-2014 恰考网 Inc. 保留所有权利。 Powered by tikuer.com

页面耗时0.0768秒, 内存占用1.03 MB, Cache:redis,访问数据库18次