A.π-2 B.π+2 C.π D.π+1

作者: tihaiku 人气: - 评论: 0
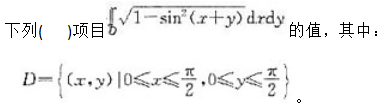
问题
选项 A.π-2 B.π+2 C.π D.π+1
答案 A
解析 根据算术根的非负性,应等于|cos(x+y)|,由于cos(x+y)在正方形D上变号,所以这里绝对值符号不能忽略,然后再根据|cos(x+y)|的分段表达式将D分成D1和D2两部分分别计算,,

相关内容:

猜你喜欢

发表评论
更多 网友评论0 条评论)
暂无评论

Copyright © 2012-2014 恰考网 Inc. 保留所有权利。 Powered by tikuer.com

页面耗时0.0279秒, 内存占用1.04 MB, Cache:redis,访问数据库19次