作者: tihaiku 人气: - 评论: 0
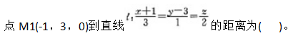
问题
选项
答案 A
解析 过点M1作与直线l垂直的平面,将直线,的参数方程带入平面方程,求出直线l与平面的交点,即得解

相关内容:

猜你喜欢

发表评论
更多 网友评论0 条评论)
暂无评论

Copyright © 2012-2014 恰考网 Inc. 保留所有权利。 Powered by tikuer.com

页面耗时0.0268秒, 内存占用1 MB, Cache:redis,访问数据库17次