一个30Ω的电阻,两端电压为220V,欲测量该电阻中通过的电流,应选用量程为( )A的电流表。A.1 B.5 C.10 D.15

作者: tihaiku 人气: - 评论: 0
问题 一个30Ω的电阻,两端电压为220V,欲测量该电阻中通过的电流,应选用量程为( )A的电流表。
选项 A.1 B.5 C.10 D.15
答案 C
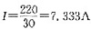
解析 根据欧姆定律,通过该电阻的电流为 选用10A的电流表

相关内容:电阻,端电压,测量,电流,量程,电流表

猜你喜欢

发表评论
更多 网友评论0 条评论)
暂无评论

Copyright © 2012-2014 恰考网 Inc. 保留所有权利。 Powered by tikuer.com

页面耗时0.0500秒, 内存占用1.04 MB, Cache:redis,访问数据库20次