若已知如图所示三角形的面积A和惯性矩Iz,则下列结论正确的是( )。

作者: tihaiku 人气: - 评论: 0
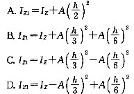
问题 若已知如图所示三角形的面积A和惯性矩Iz,则下列结论正确的是( )。
选项
答案 D
解析 设三角形的形心轴ZC与Z平行,则根据平行移动公式可得:

相关内容:如图,三角,面积,惯性,结论

猜你喜欢

发表评论
更多 网友评论0 条评论)
暂无评论

Copyright © 2012-2014 恰考网 Inc. 保留所有权利。 Powered by tikuer.com

页面耗时0.0301秒, 内存占用1.04 MB, Cache:redis,访问数据库19次