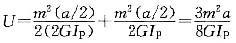
如图14所示变截面受扭圆杆的应变能的值为( )。

作者: tihaiku 人气: - 评论: 0
问题 如图14所示变截面受扭圆杆的应变能的值为( )。
选项
答案 B
解析

相关内容:如图,截面,受扭圆,应变

猜你喜欢

发表评论
更多 网友评论0 条评论)
暂无评论

Copyright © 2012-2014 恰考网 Inc. 保留所有权利。 Powered by tikuer.com

页面耗时0.0475秒, 内存占用1.05 MB, Cache:redis,访问数据库20次