频率υ=500Hz的机械波,波速u=360m·s-1,则同一波线上相位差为的两点间的距离为( )。A、0.12m B、0.24m C、0.36m D...

作者: tihaiku 人气: - 评论: 0
问题 频率υ=500Hz的机械波,波速u=360m·s-1,则同一波线上相位差为的两点间的距离为( )。
选项 A、0.12m B、0.24m C、0.36m D、0.48m
答案 A
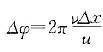
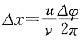
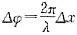
解析 由波的相位传播的概念可知,相距一个波长λ的两个质元在同一时刻的相位差为2π,所以相距△x的两质元在同一时刻相位差为,而波速u=λυ,有,即,代入题设数值,可得△x=0.12m

相关内容:频率,机械,波速,相位差,距离

猜你喜欢

发表评论
更多 网友评论0 条评论)
暂无评论

Copyright © 2012-2014 恰考网 Inc. 保留所有权利。 Powered by tikuer.com

页面耗时0.0903秒, 内存占用1.04 MB, Cache:redis,访问数据库19次