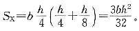
如图15所示矩形截面中阴影部分面积对x轴的面积矩Sx的值为( )。

作者: tihaiku 人气: - 评论: 0
问题 如图15所示矩形截面中阴影部分面积对x轴的面积矩Sx的值为( )。
选项
答案 A
解析

相关内容:如图,矩形,截面,阴影,部分,面积

猜你喜欢

发表评论
更多 网友评论0 条评论)
暂无评论

Copyright © 2012-2014 恰考网 Inc. 保留所有权利。 Powered by tikuer.com

页面耗时0.0537秒, 内存占用1.04 MB, Cache:redis,访问数据库18次