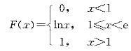
设随机变量X的分布函数为 则X的概率密度函数f(x)为( )。

作者: tihaiku 人气: - 评论: 0
问题 设随机变量X的分布函数为 则X的概率密度函数f(x)为( )。
选项
答案 B
解析 由分布函数与概率密度函数关系f(x)=F'(x),当1≤x<e时,f(x)=,X的概率密度综合表示为

猜你喜欢

发表评论
更多 网友评论0 条评论)
暂无评论

Copyright © 2012-2014 恰考网 Inc. 保留所有权利。 Powered by tikuer.com

页面耗时0.0623秒, 内存占用1.04 MB, Cache:redis,访问数据库19次