自密闭容器经两段串联管道输水,如图18所示。已知压力表读值PM=1at,水头H=2m,管长l1=10m,l2=20m,直径d1=100mm,d2=200m...

作者: tihaiku 人气: - 评论: 0
问题 自密闭容器经两段串联管道输水,如图18所示。已知压力表读值PM=1at,水头H=2m,管长l1=10m,l2=20m,直径d1=100mm,d2=200mm,沿程阻力系数λ1=λ2=0.03,流量Q为( )。
选项 A、58L/s B、39L/s C、25L/s D、49L/s
答案 A
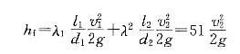
解析 由伯努利方程和连续性方程得 其中

相关内容:容器,两段,管道,如图,18所示,压力表,读值,水头,管长,直径,200m...

猜你喜欢

发表评论
更多 网友评论0 条评论)
暂无评论

Copyright © 2012-2014 恰考网 Inc. 保留所有权利。 Powered by tikuer.com

页面耗时0.0363秒, 内存占用1.04 MB, Cache:redis,访问数据库19次