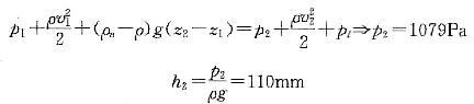
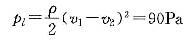
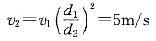
如图21所示,气体在一直立的突扩管内由下向上流动,已知d1=50mm,d2=100mm,管内的气体密度ρ=0.8kg/m3,管外的空气密度ρa=1.2kg...

作者: tihaiku 人气: - 评论: 0
问题 如图21所示,气体在一直立的突扩管内由下向上流动,已知d1=50mm,d2=100mm,管内的气体密度ρ=0.8kg/m3,管外的空气密度ρa=1.2kg/m3,流速v1=20m/s,1断面测压管读值h1=100mmH2O,两断面间的高差H=10m,沿程水头损失不计,则突扩管的局部压强损失和2断面的测压管读值h2分别为( )。
选项 A、2165Pa,130mmH20 B、1461Pa,120mmH2O C、3146Pa,150mmH2O D、1079Pa,110mmH2O
答案 D
解析 由连续性方程得 突扩管的局部压强损失为 根据气体伯努利方程得

相关内容:如图,21所示,气体,突扩,管内,流动,密度,管外,空气,1.2kg...

猜你喜欢

发表评论
更多 网友评论0 条评论)
暂无评论

Copyright © 2012-2014 恰考网 Inc. 保留所有权利。 Powered by tikuer.com

页面耗时0.0320秒, 内存占用1.04 MB, Cache:redis,访问数据库17次