真空中波长为λ的单色光,在折射率为n的均匀介质中自点A传播到点B,若A、B两点相位差为3π,则两点的光程差为( )。A、1.5λ B、1.5nλ C、...

作者: tihaiku 人气: - 评论: 0
问题 真空中波长为λ的单色光,在折射率为n的均匀介质中自点A传播到点B,若A、B两点相位差为3π,则两点的光程差为( )。
选项 A、1.5λ B、1.5nλ C、3λ D、
答案 A
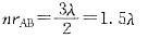
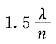
解析 按题意,相位差φAB=3π,则由相位差和光程差的关系,即 nrA-nrB),可得,因而光程

相关内容:真空,中波,单色光,折射率,介质,中自点,传播,相位差,光程

猜你喜欢

发表评论
更多 网友评论0 条评论)
暂无评论

Copyright © 2012-2014 恰考网 Inc. 保留所有权利。 Powered by tikuer.com

页面耗时0.0486秒, 内存占用1.03 MB, Cache:redis,访问数据库18次