水车由直径d=150ram,长l=80m的管道供水,如图16所示。该管道中共有两个闸阀和4个90°弯头,局部阻力系数:闸阀全开时ζa=0.12,弯头ζb=...

作者: tihaiku 人气: - 评论: 0
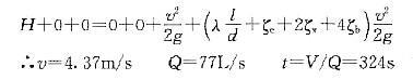
问题 水车由直径d=150ram,长l=80m的管道供水,如图16所示。该管道中共有两个闸阀和4个90°弯头,局部阻力系数:闸阀全开时ζa=0.12,弯头ζb=0.18,沿程阻力系数λ=0.03。已知水车的有效容积V为25m3,水塔的作用水头H=18m,那么水车充满水所需的最短时间为( )。
选项 A、398s B、298s C、364s D、324s
答案 D
解析 由伯努利方程得

相关内容:水车,直径,150ram,管道,供水,如图,16所示,共有,两个,闸阀,弯头,局部,阻力,系数,开时

猜你喜欢

发表评论
更多 网友评论0 条评论)
暂无评论

Copyright © 2012-2014 恰考网 Inc. 保留所有权利。 Powered by tikuer.com

页面耗时0.0459秒, 内存占用1.05 MB, Cache:redis,访问数据库20次