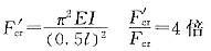
把两端铰支的细长压杆改为两端固定且仍是细长杆,其他条件不变,则改变后的压杆的临界力是原来的( )。A、16倍 B、8倍 C、4倍 D、2倍

作者: tihaiku 人气: - 评论: 0
问题 把两端铰支的细长压杆改为两端固定且仍是细长杆,其他条件不变,则改变后的压杆的临界力是原来的( )。
选项 A、16倍 B、8倍 C、4倍 D、2倍
答案 C
解析 两端铰支,两端固定

相关内容:两端,铰支,压杆,条件

猜你喜欢

发表评论
更多 网友评论0 条评论)
暂无评论

Copyright © 2012-2014 恰考网 Inc. 保留所有权利。 Powered by tikuer.com

页面耗时0.0603秒, 内存占用1.04 MB, Cache:redis,访问数据库20次