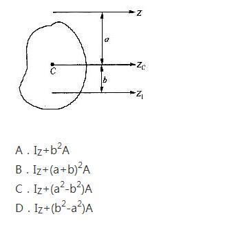
已知平面图形的形心为C,面积为A,对Z轴的惯性矩为IZ,则图形对Z1轴的惯性矩为( )。

作者: tihaiku 人气: - 评论: 0
问题 已知平面图形的形心为C,面积为A,对Z轴的惯性矩为IZ,则图形对Z1轴的惯性矩为( )。
选项
答案 D
解析 此题主要是考查对惯性矩的平行移轴公式的掌握

相关内容:平面图,形心,面积,惯性,图形

猜你喜欢

发表评论
更多 网友评论0 条评论)
暂无评论

Copyright © 2012-2014 恰考网 Inc. 保留所有权利。 Powered by tikuer.com

页面耗时0.0423秒, 内存占用1.03 MB, Cache:redis,访问数据库14次