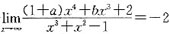
若 则a、b的值分别为( )。A.A.=-1,B.=0 B.A.=-1,B.=-2 C.A.=0,B.=0 D.A.=3,B.=0

作者: tihaiku 人气: - 评论: 0
问题 则a、b的值分别为( )。
选项 A.A.=-1,B.=0 B.A.=-1,B.=-2 C.A.=0,B.=0 D.A.=3,B.=0
答案 B
解析 利用公式,当x→∞时,有理分函数有极限为-2,所以x4的系数为0,x3的系数为-2,即可得解

猜你喜欢

发表评论
更多 网友评论0 条评论)
暂无评论

Copyright © 2012-2014 恰考网 Inc. 保留所有权利。 Powered by tikuer.com

页面耗时0.0368秒, 内存占用1.03 MB, Cache:redis,访问数据库18次