A.2,0,-2) B.2,1,-1 C.1,O,-1 D.2,O。1

作者: tihaiku 人气: - 评论: 0
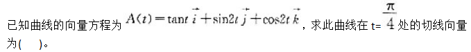
问题
选项 A.2,0,-2) B.2,1,-1 C.1,O,-1 D.2,O。1
答案 A
解析 由向量函数的导数定义先求导数,再将代入即得解

猜你喜欢

发表评论
更多 网友评论0 条评论)
暂无评论

Copyright © 2012-2014 恰考网 Inc. 保留所有权利。 Powered by tikuer.com

页面耗时0.0319秒, 内存占用1.03 MB, Cache:redis,访问数据库19次