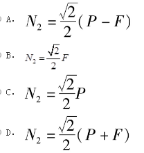
均质圆柱体重P,直径为D,置于两光滑的斜面上。设有图示方向力F作用,当圆柱不移动时,接触面2处的约束力大小为(  )。

作者: tihaiku 人气: - 评论: 0
问题 均质圆柱体重P,直径为D,置于两光滑的斜面上。设有图示方向力F作用,当圆柱不移动时,接触面2处的约束力大小为(  )。
选项
答案 A
解析

相关内容:圆柱,体重,直径,两光,面上,方向,作用,移动,接触面,约束力,大小

猜你喜欢

发表评论
更多 网友评论0 条评论)
暂无评论

Copyright © 2012-2014 恰考网 Inc. 保留所有权利。 Powered by tikuer.com

页面耗时0.0398秒, 内存占用1.05 MB, Cache:redis,访问数据库20次