作者: tihaiku 人气: - 评论: 0
问题
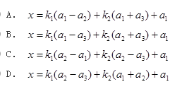
选项
答案 C
解析 Ax=B的通解为Ax=0的通解加上Ax=B的一个特解。因为r(A)=n-2,所以Ax=0的解由两个线性无关的向量组成。所以Ax=B的通解为

相关内容:

猜你喜欢

发表评论
更多 网友评论0 条评论)
暂无评论

Copyright © 2012-2014 恰考网 Inc. 保留所有权利。 Powered by tikuer.com

页面耗时0.0314秒, 内存占用1.01 MB, Cache:redis,访问数据库18次