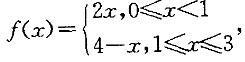
函数在x→1时,f(x)的极限是: A.2 B.3 C.0 D.不存在

作者: tihaiku 人气: - 评论: 0
问题 函数在x→1时,f(x)的极限是: A.2 B.3 C.0 D.不存在
选项
答案 D
解析 提示:计算f(x)在x=1的左、右极限: f(1+0) ≠ f(1-0)

相关内容:函数,极限

猜你喜欢

发表评论
更多 网友评论0 条评论)
暂无评论

Copyright © 2012-2014 恰考网 Inc. 保留所有权利。 Powered by tikuer.com

页面耗时0.0305秒, 内存占用1.03 MB, Cache:redis,访问数据库13次