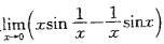
极限的结果是: A. -1 B. 1 C.0 D.不存在

作者: tihaiku 人气: - 评论: 0
问题 极限的结果是: A. -1 B. 1 C.0 D.不存在
选项
答案 A
解析 提示:利用有界函数和无穷小乘积及第一重要极限计算。

相关内容:极限

猜你喜欢

发表评论
更多 网友评论0 条评论)
暂无评论

Copyright © 2012-2014 恰考网 Inc. 保留所有权利。 Powered by tikuer.com

页面耗时0.0401秒, 内存占用1.04 MB, Cache:redis,访问数据库19次