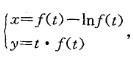
设参数方程确定了y是x的函数,且f(t)存在,f(0) = 2, f(0) = 2,则当t=0时,dy/dx的值等于: A. 4/3 B. -4/3 ...

作者: tihaiku 人气: - 评论: 0
问题 设参数方程确定了y是x的函数,且f(t)存在,f(0) = 2, f(0) = 2,则当t=0时,dy/dx的值等于: A. 4/3 B. -4/3 C. -2 D. 2
选项
答案 C
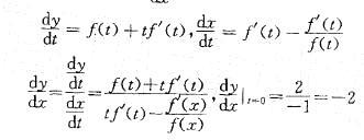
解析 提示:利用参数方程导数公式计算出dy/dx,代入t=0,得到t=0时的dy/dx值。计算如下:

相关内容:参数,方程,函数,则当

猜你喜欢

发表评论
更多 网友评论0 条评论)
暂无评论

Copyright © 2012-2014 恰考网 Inc. 保留所有权利。 Powered by tikuer.com

页面耗时0.0405秒, 内存占用1.04 MB, Cache:redis,访问数据库18次