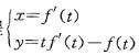
设参数方程 ,确定了y是x的函数,f''(t)存在且不为零,则d2y/dx2 的值是:

作者: tihaiku 人气: - 评论: 0
问题 设参数方程 ,确定了y是x的函数,f''(t)存在且不为零,则d2y/dx2 的值是:
选项
答案 D
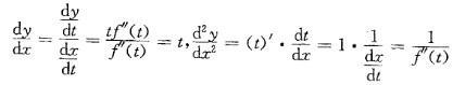
解析 提示:利用参数方程求导公式求出dy/dx,在求二阶导数时,先对t求导后,再乘t对x的导数。计算如下:

相关内容:参数,方程,函数

猜你喜欢

发表评论
更多 网友评论0 条评论)
暂无评论

Copyright © 2012-2014 恰考网 Inc. 保留所有权利。 Powered by tikuer.com

页面耗时0.0290秒, 内存占用1.05 MB, Cache:redis,访问数据库19次