A. -1 B.0 C.1 D.2

作者: tihaiku 人气: - 评论: 0
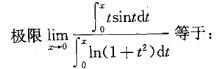
问题 A. -1 B.0 C.1 D.2
选项
答案 C
解析 提示:本题属于“0/0”型,利用洛必达法则计算。注意分子、分母均为积分上限函数。 -x2。算出极限。

相关内容:

猜你喜欢

发表评论
更多 网友评论0 条评论)
暂无评论

Copyright © 2012-2014 恰考网 Inc. 保留所有权利。 Powered by tikuer.com

页面耗时0.0328秒, 内存占用1.05 MB, Cache:redis,访问数据库19次