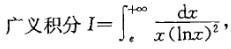
则计算后是下列中哪个结果? A. I=1 B.I=-1 C. I=1/2 D.此广义积分发散

作者: tihaiku 人气: - 评论: 0
问题 则计算后是下列中哪个结果? A. I=1 B.I=-1 C. I=1/2 D.此广义积分发散
选项
答案 A
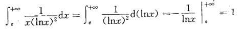
解析 提示:用凑微分法计算如下:

相关内容:结果,广义,积分

猜你喜欢

发表评论
更多 网友评论0 条评论)
暂无评论

Copyright © 2012-2014 恰考网 Inc. 保留所有权利。 Powered by tikuer.com

页面耗时0.0417秒, 内存占用1.04 MB, Cache:redis,访问数据库17次