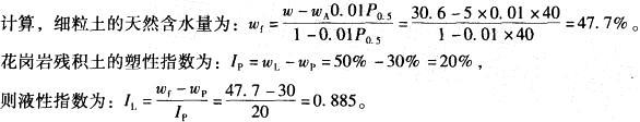
已知花岗岩残积土土样的天然含水量w=30.6%,粒径小于0.5mm细粒土的液限wL= 50%,塑限wp=30%。粒径大于0.5mm的颗粒质量占总质量的百分...

作者: tihaiku 人气: - 评论: 0
问题 已知花岗岩残积土土样的天然含水量w=30.6%,粒径小于0.5mm细粒土的液限wL= 50%,塑限wp=30%。粒径大于0.5mm的颗粒质量占总质量的百分比P0.5 =40%。该土样的液性指数IL最接近( )。 A. 0. 03 B. 0.04 C. 0. 88 D. 1.00
选项
答案 C
解析 根据《岩土工程勘察规范》(GB 50021-2001) (2009年版)第6. 9. 4条条文说明

相关内容:花岗岩,土土样,天然,含水量,粒径,细粒,液限,塑限,颗粒,质量,占总

猜你喜欢

发表评论
更多 网友评论0 条评论)
暂无评论

访问排行

Copyright © 2012-2014 恰考网 Inc. 保留所有权利。 Powered by tikuer.com

页面耗时0.0340秒, 内存占用1.05 MB, Cache:redis,访问数据库20次