相邻两座AB楼,由于建B楼对A楼产生附加沉降,如图1-11所示,A楼的附加沉降量接近于( )cm。 A. 0.9 B. 1.2 C. 2.4 D. 3.2

作者: tihaiku 人气: - 评论: 0
问题 相邻两座AB楼,由于建B楼对A楼产生附加沉降,如图1-11所示,A楼的附加沉降量接近于( )cm。 A. 0.9 B. 1.2 C. 2.4 D. 3.2
选项
答案 B
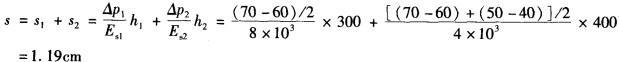
解析 附加沉降量s可按下式计算:

相关内容:楼对,附加,沉降,如图,1-11所示

猜你喜欢

发表评论
更多 网友评论0 条评论)
暂无评论

访问排行

Copyright © 2012-2014 恰考网 Inc. 保留所有权利。 Powered by tikuer.com

页面耗时0.0601秒, 内存占用1.05 MB, Cache:redis,访问数据库20次