超固结黏土层厚度为4.0m,前期固结压力Pc=400kPa,压缩指数Cc=0.3,再压缩曲线上回弹指数Cs= 0.1,平均自重压力Pcx=200kPa,天...

作者: tihaiku 人气: - 评论: 0
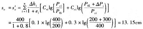
问题 超固结黏土层厚度为4.0m,前期固结压力Pc=400kPa,压缩指数Cc=0.3,再压缩曲线上回弹指数Cs= 0.1,平均自重压力Pcx=200kPa,天然孔隙比e0=0.8,建筑物平均附加应力在该土层中为P0=300kPa,该黏土层最终沉降量最接近于( )cm。 A. 8.5 B. 11 C. 13.2 D. 15.8
选项
答案 C
解析 根据《铁路特殊路基设计规范》(TB 10035-2002)第3. 2. 7条计算,有:

相关内容:土层,厚度,前期,压力,400kPa,指数,自重,200kPa

猜你喜欢

发表评论
更多 网友评论0 条评论)
暂无评论

访问排行

Copyright © 2012-2014 恰考网 Inc. 保留所有权利。 Powered by tikuer.com

页面耗时0.0494秒, 内存占用1.04 MB, Cache:redis,访问数据库20次