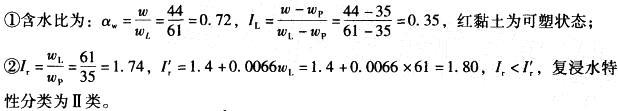
黏土场地含水量w=44%,液限wL=61%,塑限wp=35%,该红黏土地基的状态及复浸水性类别分别为( )。 A.软塑;I类 B.可塑;I类 C.软塑;...

作者: tihaiku 人气: - 评论: 0
问题 黏土场地含水量w=44%,液限wL=61%,塑限wp=35%,该红黏土地基的状态及复浸水性类别分别为( )。 A.软塑;I类 B.可塑;I类 C.软塑;II类 D.可塑;II类
选项
答案 D
解析 根据《岩土工程勘察规范》(GB 50021-2001)(2009年版)第6. 2. 1条和第6. 2. 2 条计算如下:

相关内容:黏土,场地,含水量,液限,塑限,该红,地基,状态,复浸,水性,类别,软塑

猜你喜欢

发表评论
更多 网友评论0 条评论)
暂无评论

访问排行

Copyright © 2012-2014 恰考网 Inc. 保留所有权利。 Powered by tikuer.com

页面耗时0.0441秒, 内存占用1.05 MB, Cache:redis,访问数据库20次