某杂填土场地进行波速测试,平均剪切波波速为400m/s,平均压缩波波速度为700m/s,该场地地基土的重度为18kN/m3,场地的动弹性模量及动泊松比为(...

作者: tihaiku 人气: - 评论: 0
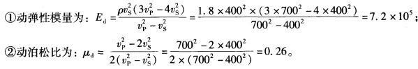
问题 某杂填土场地进行波速测试,平均剪切波波速为400m/s,平均压缩波波速度为700m/s,该场地地基土的重度为18kN/m3,场地的动弹性模量及动泊松比为( )。 A. 7.2×105 ; 0. 35 B. 3. 5×105 ; 0. 35 C. 3.5×105 ; 0. 26 D. 7. ×105 ; 0. 26
选项
答案 D
解析 根据《岩土工程勘察规范》(GB 50021 —2001 )(2009年版)第10. 10. 5条条文说明,有:

相关内容:某杂,场地,波速,测试,剪切,波波,速度,地基,弹性,模量,动泊

猜你喜欢

发表评论
更多 网友评论0 条评论)
暂无评论

访问排行

Copyright © 2012-2014 恰考网 Inc. 保留所有权利。 Powered by tikuer.com

页面耗时0.0356秒, 内存占用1.05 MB, Cache:redis,访问数据库20次