某民用建筑场地为碎石土场地,在9.0m处进行重型动力触探试验,测得锤击数为25击,该碎石土的密实度为( )。 A.松散 B.稍密 C.中密 D.密实

作者: tihaiku 人气: - 评论: 0
问题 某民用建筑场地为碎石土场地,在9.0m处进行重型动力触探试验,测得锤击数为25击,该碎石土的密实度为( )。 A.松散 B.稍密 C.中密 D.密实
选项
答案 C
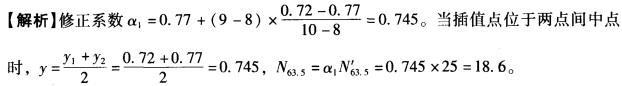
解析 则根据《岩土工程勘察规范》(GB 50021-2001) (2009年版)表3. 3. 8 - 1可知,10<N63.5≤20,该碎石土为中密状态。

相关内容:民用建筑,场地,碎石,动力,触探,试验,锤击,密实度,稍密,中密

猜你喜欢

发表评论
更多 网友评论0 条评论)
暂无评论

访问排行

Copyright © 2012-2014 恰考网 Inc. 保留所有权利。 Powered by tikuer.com

页面耗时0.0396秒, 内存占用1.05 MB, Cache:redis,访问数据库19次