某建筑工程岩体,岩石点荷载强度指数Is(50)为4. 2,波速比为0.91,地下水影响修正系数为0.1,主要软弱结构面产状影响修正系数为0.2,初始应力状...

作者: tihaiku 人气: - 评论: 0
问题 某建筑工程岩体,岩石点荷载强度指数Is(50)为4. 2,波速比为0.91,地下水影响修正系数为0.1,主要软弱结构面产状影响修正系数为0.2,初始应力状态影响修正系数为0.5,根据《工程岩体分级标准》(GB 50218—1994),该岩体的级别可确定为( )级。 A. I B. II C. III D. IV
选项
答案 C
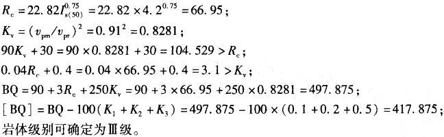
解析 根据《工程岩体分级标准》(GB 50218—1994)第4. 1.1条及4.2.2条,有:

相关内容:建筑工程,岩体,岩石,荷载,强度,指数,波速,地下水,影响,系数,结构,面产,初始,应力

猜你喜欢

发表评论
更多 网友评论0 条评论)
暂无评论

访问排行

Copyright © 2012-2014 恰考网 Inc. 保留所有权利。 Powered by tikuer.com

页面耗时0.0481秒, 内存占用1.04 MB, Cache:redis,访问数据库18次