某港口重力式码头为条形基础,基底有抛石基床,厚度d1=2m,抛石基床底面处有效受压宽度B′e=14m,抛石基床底面合力与垂线间的夹角δ′=11°。抛石基床...

作者: tihaiku 人气: - 评论: 0
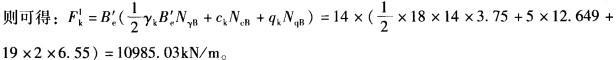
问题 某港口重力式码头为条形基础,基底有抛石基床,厚度d1=2m,抛石基床底面处有效受压宽度B′e=14m,抛石基床底面合力与垂线间的夹角δ′=11°。抛石基床底面以下土的抗剪强度标准值φk = 24°, ck=5kPa,天然重度标准值yk=18kN/m3。抛石基床厚度范围内土的重度标准值yk1=19.0kN/m3。则地基极限承载力的竖向分力标准值为( )kN/m。(承载力系数Ny=3. 75,Nq =6. 55, Nc= 12. 469) A. 5655.11 B. 7297.44 C. 9138.42 D. 10985. 03
选项
答案 D
解析 根据《港口工程地基规范》(JTJ250—1998)第4.2.6条,由题可知φ>0,δ′<φ,

相关内容:港口,重力,码头,条形,基础,基底,石基,厚度,底面,宽度,合力,垂线,夹角

猜你喜欢

发表评论
更多 网友评论0 条评论)
暂无评论

访问排行

Copyright © 2012-2014 恰考网 Inc. 保留所有权利。 Powered by tikuer.com

页面耗时0.0424秒, 内存占用1.05 MB, Cache:redis,访问数据库19次