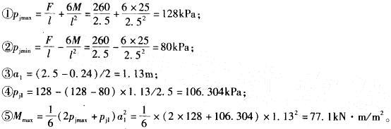
某砖墙厚度0.24m,墙下条形基础宽2.5m,埋深1.5m,上部结构传来的竖向荷载F= 260kN/m,力矩M = 25kN·m/m2。计算验算截面的弯矩...

作者: tihaiku 人气: - 评论: 0
问题 某砖墙厚度0.24m,墙下条形基础宽2.5m,埋深1.5m,上部结构传来的竖向荷载F= 260kN/m,力矩M = 25kN·m/m2。计算验算截面的弯矩,其值最接近于( )kN·m/m2。 A. 75 B. 77 C. 81 D. 150
选项
答案 B
解析 计算截面选在墙边缘,按公式计算如下:

相关内容:砖墙,厚度,条形,基础,埋深,结构,荷载,力矩,验算,弯矩

猜你喜欢

发表评论
更多 网友评论0 条评论)
暂无评论

访问排行

Copyright © 2012-2014 恰考网 Inc. 保留所有权利。 Powered by tikuer.com

页面耗时0.0556秒, 内存占用1.03 MB, Cache:redis,访问数据库14次