某柱下锥形独立基础的底面尺寸为2200mm×3000mm,上部结构柱荷载N=750kN, M=110kN·m,柱截面尺寸为400mm×400mm,基础采用...

作者: tihaiku 人气: - 评论: 0
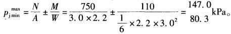
问题 某柱下锥形独立基础的底面尺寸为2200mm×3000mm,上部结构柱荷载N=750kN, M=110kN·m,柱截面尺寸为400mm×400mm,基础采用C20级混凝土和I级钢筋,钢筋保护层厚度取50mm。基础下设置100mm厚的混凝土垫层。拟选基础高度为h= 500mm。 (1)最大基底净反力最接近( )kPa。 A. 80 B. 120 C. 150 D. 165
选项
答案 C
解析 根据《建筑地基基础设计规范》(GB 50007—2002)第5. 2. 2条,基底净反力为:

相关内容:某柱下,锥形,基础,底面,尺寸,2200mm,3000mm,结构,荷载,截面

猜你喜欢

发表评论
更多 网友评论0 条评论)
暂无评论

访问排行

Copyright © 2012-2014 恰考网 Inc. 保留所有权利。 Powered by tikuer.com

页面耗时0.0331秒, 内存占用1.05 MB, Cache:redis,访问数据库19次