如图所示四桩承台,采用截面0.4m x 0.4m钢筋混凝土预制方桩,承台混凝土强度等级为C35(fa=1.57MPa),按《建筑桩基技术规范》(JGJ94...

作者: tihaiku 人气: - 评论: 0
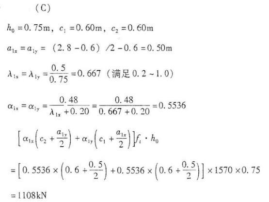
问题 如图所示四桩承台,采用截面0.4m x 0.4m钢筋混凝土预制方桩,承台混凝土强度等级为C35(fa=1.57MPa),按《建筑桩基技术规范》(JGJ94-94)验算承台受角桩冲切的承载力最接近下列哪一个数值?
选项
答案 C
解析

相关内容:如图,四桩,截面,钢筋混凝土,方桩,混凝土,强度,等级,1.57MPa,建筑桩基技术规范,JGJ94...

猜你喜欢

发表评论
更多 网友评论0 条评论)
暂无评论

访问排行

Copyright © 2012-2014 恰考网 Inc. 保留所有权利。 Powered by tikuer.com

页面耗时0.0429秒, 内存占用1.05 MB, Cache:redis,访问数据库19次